9000 Schritte am Tag - es kann so einfach sein
Ich mag, wenn man sehr einfache Blutwerte oder Messwerte findet, durch die man ganz massiv seine Gesundheit beeinflussen kann, wenn man diese kennt und im Anschluss darauf achtet. Ein solch einfacher Messwert ist die Anzahl der Schritte, die wir am Tag gehen. Und zu diesem Messwert ist gerade eine Auswertung auf Basis der NHANES-Daten in Kombination mit einem Schrittzähler veröffentlicht worden. Was vermuten Sie, wie sehr erhöht sich Ihr Risiko, wenn Sie nur 3000 anstatt 9000 Schritte am Tag gehen? Ein klein wenig? Tatsächlich ist das dramatisch, schauen wir uns die Daten einmal an:

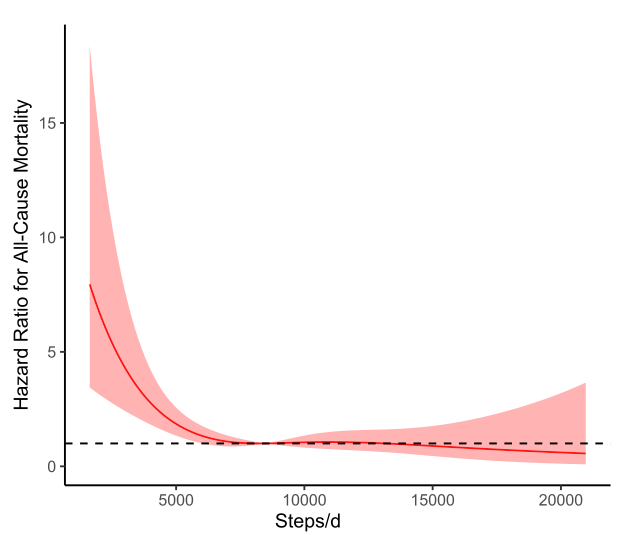
Denn tatsächlich steigt das Risiko, in den kommenden 20 Jahren zu sterben, massiv. Man hat in diesem Rahmen auch noch eine Untergruppe untersucht, nämlich Teilnehmer, die bereits hohen Blutdruck haben. Das Spannende, man kommt ziemlich exakt zu dem gleichen Ergebnis:

Bei ca. 9000 Schritten liegt der optimale Punkt für die Untergruppe wie auch für den gesamten Teilnehmerkreis, den man über 12 Jahre hinweg beobachtet hat. Oder anders, bei 9000 Schritten startet sozusagen der optimale Bereich, es gibt danach keine Verbesserung mehr. Doch schauen wir uns die ermittelten Daten einmal ganz genau an: Bei den 1629 Teilnehmern mit hohem Blutdruck sind in 12 Jahren 370 Teilnehmer verstorben, nur eben sehr ungleich verteilt. Das Risiko war in der Gruppe mit der geringsten Anzahl an Schritten um Faktoren höher. Oder anders formuliert: In der Gruppe mit der geringsten Anzahl an Schritten (maximal 4350 Schritte am Tag) haben lediglich ca. 60 Prozent der Teilnehmer überlebt. Zum Vergleich: In der Gruppe mit den meisten Schritten haben weit über 90 Prozent der Teilnehmer überlebt.
Wenn ich noch ein wenig in den gemessenen Daten schaue, dann finde ich in diesen Tabellen, dass die Gruppe mit den wenigsten Schritten auch den höchsten BMI hat wie auch den schlechtesten HDL-Wert aller Gruppen. Auch hat diese Gruppe den höchsten Triglycerid-Wert und in der ersten Studie auch die höchste Anzahl an Teilnehmern mit hohem Blutdruck. Daher verwundert es auch nicht, dass sich in dieser Gruppe die mit Abstand höchste Anzahl an Diabetikern Typ-2 wiederfindet, denn das sind alles typische Messwerte für eine fortschreitende Insulinsresistenz, die in den Hausarztpraxen leider bis heute ignoriert wird. Wahrscheinlich, weil man hier „nur“ mit dem Thema Ernährung gegenwirken kann, dann jedoch recht zügig, wie wir durch Sarah Hallberg wissen. Sie erinnern sich: Satte 60 Prozent Remission von Diabetes Typ-2 binnen eines Jahres auf Basis einer ketogenen Ernährung. Wenn Sie mich fragen, ist es unverantwortlich, dass diese Studie nicht als kleines Handout in jeder Arztpraxis ausliegt. Und mit jeder Arztpraxis meine ich jede - nicht nur in Deutschland.
Quellen:
Association of daily step counts and step intensity with mortality among US adults: a cross–sectional study of NHANES 2005–2006, Chuanjiang Li, 2025, DOI: 10.1186/s12876-025-03606-7
Associations of daily step count with all-cause mortality and cardiovascular mortality in hypertensive US adults: a cohort study from NHANES 2005–2006, Xiangping Chai et al, 2025, DOI: 10.1186/s12889-024-21216-y
Effectiveness and Safety of a Novel Care Model for the Management of Type 2 Diabetes at 1
Year: An Open-Label, Non-Randomized, Controlled Study, Sarah Hallberg et al., 2018,
DOI: 10.1007/s13300-018-0373-9
Über den Autor:
“Robert Krug beschäftigt sich seit 2016 intensiv mit dem Thema Gesundheit und Ernährung im Hinblick auf die Biochemie des Menschen. Seit 2019 veröffentlicht Robert Krug Bücher zu den Themen genetisch korrekte Ernährung und zur ganzheitlichen Betrachtung des Menschen. Doch lassen wir ihn selbst einmal zu Wort kommen, wie er seinen Weg zur Biochemie gefunden hat:
"Ich liebe es, Probleme zu lösen. Das wird mit ein Grund dafür gewesen sein, dass ich 1994 Wirtschaftsinformatik studiert und warum ich leidenschaftlich gern Software programmiert habe.
Mein Weg zur ganzheitlichen Medizin erfolgte aus der Not heraus, da ich in 2016 selbst erkrankte und von der Schulmedizin leider keine Hilfe bekam. So fing ich an, mich Stück für Stück mit meinen Problemen zu beschäftigen und zu lesen, um den Problemen auf den Grund zu gehen. Also das gleiche Vorgehen wie bei der Arbeit. Das war sozusagen der Start für mein inzwischen leidenschaftliches Interesse an der Biochemie und somit der Start meiner Reise."
”
